神经网络的Python实现示例
2018/7/31大约 3 分钟
神经网络的Python实现示例
1)Rossenblatt感知器

对于每一行数据,有m个参数(变量)和一个输出(标签),先对每个参数x定义一个初始的权重w
净输入函数定义为:z=w0x0+w1x1+…+wmxm。注意,这里增加了一个W0X0。
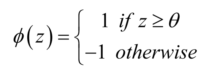
然后对这个z值,通过激励函数来判断, 
如果计算出的值和标签值相同,都是1或者-1,则w不做变化,进入下一轮,如果不同,则向某个方向调整w的值,进入下一轮的回测比较。
查看python实现的例子,能看到在更新权重时,用到了一个小技巧,使得代码非常简洁
for xi, target in zip(X, y): #zip将两个对象打包成一个元组,比如这里,X是一个100x2的阵列,100行,每行2列,而y是100行,每行1列,打包后,相当于[(x1,x2),y1]
update = self.eta*(target - self.predict(xi))
self.w_[1:] += update*xi #很显然,如果上一行括号里两个值相等,相当于实际值和预测量相同,这时update=0,则w_的值不会变化
self.w_[0] += update
errors += int(update != 0.0)
self.errors_.append(errors)上面X就是n个二元组,比如[14.1,22],[11.4,31.3]……,而y则是一个长度为n的数列[-1,1,……],相当于是每一个X对应的标签。
而净输入函数net_input非常简单
def net_input(self, X):
"""Calculate net input"""
return np.dot(X, self.w_[1:]) + self.w_[0]激励函数,这里是预测函数
def predict(self, X):
"""Return class label after unit step"""
return np.where(self.net_input(X) >= 0.0, 1, -1)这里有一个问题是,为什么要加一个W0。
增加的第一个权重值,主要是用来作为阀值,当设定W0=0时 ,相当于阀值为0, 当这个激励函数>=0.0时,就是1,否则就是-1。
2)自适应线性神经网络(Adaptive Linear Neuron,ADaline)

可以通过查看Python实现的算法来了解此感知器的技术细节。
可以看到,主要区别在于Fit函数。
def fit(self, X, y):
self.w_ = np.zeros(1 + X.shape[1])
self.costs_ = []
for i in range(self.n_iter):
output = self.net_input(X)
errors = (y - output)
self.w_[1:] += self.eta * X.T.dot(errors)
self.w_[0] += self.eta * errors.sum()
cost = (errors ** 2).sum() / 2.0
self.costs_.append(cost)
return selfRosenblatt的算法中Fit函数里,每一轮迭代中,对每一个样本做一次权重更新,而这里的算法是用代价函数的方式来进行。代价函数从概念上比较容易理解,它是一个凸函数,所以可以理解成在每次迭代时找最小值,这时,如果学习速率过大,相当于跨度过大,有可能会跳过最优解,而学习速度小,则需要更多的迭代次数,这就需要根据经验来调整参数。但是从上面的算法,看起来还是比较生涩难懂的。
因为它需要在每轮迭代中对全局数据进行运算,如果数据量大了的话,会存在成本问题, 这时可以考虑一种替代的优化算法:随机梯度下降。
3)逻辑回归算法
对于上面的Adaline算法,修改三点:
- 将代价函数由平方误差改为对数似然函数
adaline:cost=(errors ** 2).sum()/2.0 #平方误差的总和
logistic: cost=-y.dot(np.log(output)) -((1-y).dot(np.log(1-output)))- 激活函数改成Signoid函数
adaline:
def activation(self,X):
return self.net_input(X)
logistic:
def activation(self,z)
return 1.0/(1.0+np.exp(-np.clip(z,-250,250)))- 预测函数输出改为1,0
adaline:
def predict(self, X):
return np.where(self.activation(self.net_input(X)) >= 0.0, 1, -1)
logistic:
def predict(self, X):
return np.where(self.net_input(X)>0.0,1,0)代码可以在这里看到。